04 maio 2015

Obrigado! Querido! Benfica!

A SEXTA TAÇA DE PORTUGAL EM 18 EDIÇÕES. É NOSSA!
             

NOTA (às 20:30) PARA OS "MALUQUINHOS" DAS ESTATÍSTICAS: acabei de agendar para a meia-noite (de 7 para 8) a Lista dos 57 Futsalistas Vencedores das Seis Taças de Portugal

Foi uma excelente conquista. Mais uma. Desde que o Benfica estreou a modalidade, em 13 de Setembro de 2001, são 18 conquistas nacionais, mais um Torneio Centenário da AFL e a Glória Suprema, a Liga dos Campeões de Futsal (Taça UEFA Futsal), em 2009/10. No total é a 20.ª conquista oficial (18 na FPF, uma na UEFA e outra na AFL).



Dezoito em 41 troféus, nas 14 temporadas de Glorioso Futsal
Desde que o "Manto Sagrado" chegou ao Futsal disputaram-se 13 campeonatos nacionais, 14 Taças de Portugal e 14 Supertaças. O Benfica conquistou, respectivamente, seis (46 por cento), seis (43 por cento) e...seis (43 por cento). Entre os oito clubes que conseguiram a posse de um dos três troféus (campeonato nacional, Taça de Portugal e Supertaça), o "Glorioso" consagrou-se com 18, o Sporting CP com 16 e o AR Freixieiro com dois. Depois há mais cinco emblemas, cada um com um troféu. No total (18 + 16 + 2 + 5) estão "entregues "os 41!



Em 14 temporadas o Benfica disputou dez finais na Taça de Portugal
E nessa dezena de finais registam-se seis com sucesso e quatro sem conseguir vencer esse jogo decisivo. O adversário de ontem (AD Fundão) junta-se ao CF "Os Belenenses" e Sporting CP no grupo de clubes com duas finais disputadas frente ao "Glorioso". Há quatro clubes com uma final disputada frente ao SLB.

SL BENFICA EM FINAIS DA TAÇA
Época
Res.
Adversário
Pavilhão
Local
2002/03
V 5-4
AR Freixieiro
Municipal
Fundão
2004/05
V 4-1
Boavista FC
Municipal
Entroncamento
2005/06
D 5-9
Sporting CP
Multiusos
Coimbra
2006/07
V 2-1
SC Braga
Municipal
Vila Nova de Gaia
2008/09
V 4-1
CF "Os Belenenses"
Municipal
Vagos
2009/10
D 1-2
CF "Os Belenenses"
Municipal
Entroncamento
2010/11
D 2-3
Sporting CP
Dr. Salvador Machado
Oliveira de Azeméis
2011/12
V 2-1
AD MÓDICUS
Dr. Salvador Machado
Oliveira de Azeméis
2013/14
D 6-7
AD Fundão
Dr. Salvador Machado
Oliveira de Azeméis
2014/15
V 5-2
AD Fundão
Multiusos
Sines

2014/15. Um plantel de campeões. De cima para baixo. Da esquerda para a direita. Bebé (1), Patias (8), Brandi (14), Cristiano (15), Mancuso (19), Bruno Pinto (11) e Juanjo (12); Gonçalo Alves (9, capitão), Bruno Coelho (3), Ré (20), Henmi (7), Chaguinha (2) e Jefferson (23). Não constam da fotografia: Pablo (4), Vítor Hugo (6) e Xande (13)

Em dez finais são 36 golos marcados por 23 futsalistas
Os dois maiores goleadores do Glorioso Futsal marcaram cinco golos cada um, com André Lima a fazê-lo a quatro clubes, tal como Joel Queirós. O terceiro melhor marcador, Ricardinho regista dois golos.

MARCADORES EM FINAIS DA TAÇA
N.º Golos
(36)
Futsalistas
(23)
Por adversário
(7)
5
André Lima
AR Freixieiro (2); Boavista FC (1); Sporting CP (1); SC Braga (1)
5
Joel Queirós
CF "Os Belenenses" (1); Sporting CP (1); AD MÓDICUS (2); AD Fundão (1)
2
Micky
Boavista FC (2)
2
Sidney
Sporting CP (2)
2
Ricardinho
Sporting CP (1); CF "Os Belenenses" (1)
2
Ricardo Fernandes
AD Fundão (2)
2
AD Fundão (2)
1
Arnaldo
AR Freixieiro (1)
1
Costinha
AR Freixieiro (1)
1
Pedrinho
AR Freixieiro (1)
1
Pica-Pau
Boavista FC (1)
1
Wilson
Sporting CP (1)
1
Amandus
SC Braga (1)
1
Zé Maria
CF "Os Belenenses" (1)
1
Rogério Vilela
CF "Os Belenenses" (1)
1
César Paulo
CF "Os Belenenses" (1)
1
Marinho
Sporting CP (1)
1
Serginho
AD Fundão (1)
1
Paulinho
AD Fundão (1)
1
Alan Brandi
AD Fundão (1)
1
Mancuso
 AD Fundão (1)
1
Bruno Coelho
 AD Fundão (1)
1
Jefferson
 AD Fundão (1)

Um Campanha Alegre
Como é habitual - apenas em quatro das 14 temporadas não foi assim! - o Benfica chegou à final da Taça de Portugal. Em 2014/15 pela décima vez com um registo impressionante sempre a jogar longe da Gloriosa Cidade Desportiva, ou seja sem utilizar o pavilhão 1 ou 2. Coube a Braga (4-1), Batalha (6-2), Fátima (7-3) e Sines (2-1) terem a sorte de poderem deleitar-se com o melhor Futsal praticado em Portugal. E foi Sines que teve direito a bis com os 5-2 na final. Para nós, "simples mortais" safou-nos a televisão. Registos imaculados: Cinco jogos, com cinco vitórias e 24/9 em golos. Impressionante!


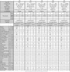
SLB: A Maior Fábrica de Campeões
Em 2014/15, são 15 os Gloriosos Futsalistas a adicionarem para a eternidade o seu nome, acrescentando grandeza ao que já é enorme. Gonçalo Alves e Bebé com quatro triunfos "juntam-se" a Costinha, Zé Maria, Zé Carlos, Rogério Vilela e Ricardinho como os sete futsalistas com mais Taças de Portugal conquistadas com o "Manto Sagrado". Bruno Coelho regista duas e depois há mais 12 Gloriosos Futsalistas com um, nesta preciosa colaboração para o título de 2014/15.

Honra aos vencedores

PLANTEL VENCEDOR DA
TAÇA DE PORTUGAL EM 2014/15

Futsalistas
Jogos
Golos
Tot
Tit
Sup
Tot
Eli*
5
24
5
TREINADOR
Joel Rocha
Gonçalo Alves
Fx
5
5
-
3
1
Chaguinha
Ala
5
4
1
1
1
Ala
5
1
4
2
1
Bruno Coelho
Ala
4
2
2
5
3
Patias
Pv
4
3
1
2
2
Juanjo
GR
4
4
-
1
1
Henmi
Ala
4
2
2
-
-
Brandi
Pv
4
1
3
3
3
Bruno Pinto
Ala
4
2
2
1
1
Jefferson
Ala
4
-
4
2
2
Mancuso
Ala
3
-
3
3
1
Xande
Ala
3
-
3
1
1
Pablo del Moral
Fx
2
-
2
-
-
Bebé
GR
1
1
-
-
-
Cristiano
GR
1
-
1
-
-
* Número de eliminatórias a marcar golos

Algumas notas finais. Três notas.

Primeira
Não gostei do jogo, principalmente na primeira parte. O resultado favorável de 3-0 é lisonjeiro. O "Glorioso" chegou precocemente às quatro faltas e não conseguia controlar o jogo. Valeu o esplêndido aproveitamento das "bolas paradas" e uma "monumental frangalhada" para conquistar em meia-parte (3-0) o troféu. Depois no segundo tempo (2-2) o jogo foi mais repartido com o adversário a lutar com dignidade, pois para além da presença na final, o clube do Fundão era o detentor do troféu. No futuro espero passar menos sobressaltos ao ver o Benfica regressar ao nível de concentração exibido em grande parte da temporada, pois o Bota-Fora no Futsal é muito "perigoso": o primeiro jogo (ao contrário de todas as modalidades) inicia-se no recinto alheio para o clube que ficou melhor classificado! O ano passado isso contribuiu para a aflição que nos tombou na meia-final. Perder o primeiro jogo significa ter um segundo jogo, mesmo "em casa", de "aflição"!

Erretepedistas

Foi penoso ouvir uma dúzia de vezes, ainda antes de ter início a final até depois desta estar jogada, o narrador Pedro Martins afirmar que era a 14.ª edição da Taça de Portugal e depois, por cima desta mentira, exaltar com o facto do GD Fundação Jorge Antunes ser o único clube que conquistou dois títulos consecutivos. Isto está correcto, mas então nunca poderiam ser 14 finais, mas sim 15 para "apanhar" essas duas temporadas de 2000/01 e 2001/02! Só que há ainda mais três para trás desse Bi com Taças de Portugal conquistadas. Das duas uma. Incompetência aritmética nas contas de somar de Pedro Martins ou a FPF já decidiu que as quatro edições iniciais não contam. São talvez... os "Campeonatos de Portugal do Futsal". 


Equipamentos alternativos na Final?
Continuo a não perceber. Melhor. A não querer perceber como é que o Benfica não entrega dois conjuntos de equipamentos a todos os plantéis seniores do Clube para poderem jogar dois dias consecutivos com o equipamento. Eu escrevo O EQUIPAMENTO. O Benfica jogou com O EQUIPAMENTO frente ao Sporting CP no sábado. 



Muito bem
Um dérbi de Lisboa é UM DÉRBI! Mas no domingo a AD Fundão jogou com o seu alternativo (camisola branca e calção...vinhedo) com o SLB a jogar de preto...fuschia! Quando devia ter jogado com O EQUIPAMENTO! 



No Benfica nem há equipamento principal
O EQUIPAMENTO: camisola vermelha, calção branco e meias vermelhas. Depois há um equipamento para as excepções. Que é alternativo ao EQUIPAMENTO. Excepções são mesmo, devem ser mesmo...excepções! Poucas!

O problema?
De certeza que não é por falta de dinheiro. O que significam três ou quatro milhares de euros, talvez nem tanto, devido aos contratos com a ADIDAS? É falta de Cultura Benfiquista. Do tipo: Deixa andar que eles, os associados, não querem saber disso. Querem é discutir os titulares e as substituições no último jogo de futebol. Só que o Benfica, o Benfiquismo, é muito mais, muitíssimo mais, infinitamente mais, do que isso! Por isso o Benfica, nascendo igual a todos os outros, tornou-se muito maior do que todos eles! Um questão de ter Cultura de Clube. Forte! Coerente! Digna! Clubismo!

Eu quando tiver que me identificar com um animal nem pestanejo. Quero ser (não quer dizer que o consiga...) como a Águia. Livre, altaneira, rápida, nobre, respeitada, temida, altiva e corajosa, que olha o Sol de frente. Recuso ser uma aguivestuz!

Já não há pachorra 
Para ver épocas a fio o "Manto Sagrado" ser tido e entendido como acessório. Como um porta-chaves, uma caneca ou um cachecol. Saca-euros. Nas lojas para nós pode ser. Não nos importamos de contribuir - queremos contribuir - para financiar a grandeza do "Glorioso". Foi para isso que me associei ao Clube, em Janeiro de 1979. No corpo de atletas do Benfica é "Manto Sagrado"! É ler os Estatutos! É fazer cumpri-los! Os Estatutos sempre foram, desde 1913, a Gloriosa Magna Carta. Não é um livro de ficção!

Estatutos do Sport Lisboa e Benfica; Página 3; AGE em 30 de Abril de 2010
Glória ao Benfica

Alberto Miguéns

NOTA (SEGUNDA-FEIRA) 

O Bilhar tem obrigatoriamente de vencer, pois a equipa da ALAB (Associação Lisbonense dos Amadores de Bilhar) está em 4.º lugar apenas a um ponto e também deve vencer (joga nesta penúltima jornada, no nosso Salão, com a Gloriosa Equipa B). Na última jornada o "Glorioso" tem vantagem: recebe a equipa B dos "cacilheiros" (Ginásio CS) e a ALAB recebe o Sporting CP (1.º classificado). Uma derrota em Massamá colocar-nos-ia a depender de "terceiros".

TÁBUA CRONOLÓGICA/ DIÁRIO DO SLB/ 02-03.Maio.2015
Dia SLB
N.º
MAI
Dia
Acontecimento





40 605





2
FTS
10:45
Jg 881 ESmFs; V 2-1; Sporting CP; Taça de Portugal; Meias-finais; Pav. Multiusos  (Sines); N
FUT
18:00
Jg 5082 ESmFt; V 5-0; Gil Vicente FC; Primeira Liga; 31.ª jornada; Estádio da Cidade (Barcelos); F
BAS
18:00

Jg 3888 ESmBQ; V 96-60; UD Oliveirense; Campeonato Nacional; Bota-fora; Quartos-de-final; 3.º jogo; Pav. Dr. Salvador Machado (Oliveira de Azeméis); F
VOL
18:30
Jg 1887 ESmV; D 1-3 (25-27; 20-25; 25-22; 20-25); AJ Fonte Bastardo; Campeonato Nacional; FINAL; 3.º jogo; Pav. Vitorino Nemésio (Fonte Bastardo/Terceira/Açores); F


40 606


3
HP
16:45
Jg 110 ESfHP; V 8-0; Stuart HC Massamá; Campeonato Nacional/Fase Final; 9.ª jornada; Pav. João Campelo (Massamá); F
FTS
18:00
Jg 882 ESmFs; V 5-2; AD Fundão; Taça de Portugal; FINAL; Pav. Multiusos   (Sines); N
  40 607
4
BIL
21:00
Jg 1970 ESmBIL; O 0-0; Real SC - A; Campeonato Nacional I Divisão - Zona Sul; 13.ª jornada; Sala RSC (Massamá); F


12 comentários:

  1. marco midas ferreira. tirou 3 pontos ao benfica em braga e hoje deu 2 ao porto
    marco midas ferreira. tirou 3 pontos ao benfica em braga e hoje deu 2 ao porto
    marco midas ferreira. tirou 3 pontos ao benfica em braga e hoje deu 2 ao porto
    marco midas ferreira. tirou 3 pontos ao benfica em braga e hoje deu 2 ao porto
    marco midas ferreira. tirou 3 pontos ao benfica em braga e hoje deu 2 ao porto
    marco midas ferreira. tirou 3 pontos ao benfica em braga e hoje deu 2 ao porto

    ResponderEliminar
    Respostas
    1. Continuam as campanhas anti Benfica nos programas desportivos na tv,então no play off da sic parecia a casa das coelhinhas...umas prostitutas de nome rui santos e rodolfo reis. Para quem não viu mesmo que custe tente ver...e depois diga se não são umas prostitutas de luxo.

      Eliminar
  2. A VOZ DO POVO NA NET

    ISTO É ALGUM CAMPEONATO?????

    HÁ CLUBES QUE NO FIM DO CAMPEONATOO
    FARTARAM-SE DE JOGAR CONTRA MANSOS

    “””” k se diria hoje se um jogador do Benfica tivesse feito no jogo com o Gil um corte "à Alex Sandro" e o árbitro não apitasse o k devia? Nem quero imaginar. De resto.. é com este futebol k o porto queria ser campeão? Ide brincar com outros! E comecem já a campanha contra o árbitro do Benfica-Penafiel


    Depois de ver a entrega do Setubal neste jogo, aposto que o Setubal vai conseguir facilmente a manutenção. Seja com resultados imprevisíveis, ou com decisões de arbitragem polémicas.
    Parece um jogo treino. O Porto troca a bola à vontade, os jogadores do Setúbal andam a passo, sem pressionar e a mandar chutões para a frente. Ou por ser fraco ou por ser subserviente, este Setúbal merece descer de divisão.

    folkclore do costume, setubal sem jogar nada qdo joga contra o porto, penalties por marcar contra o porto e lopatego com a mania que é espertalhão. vamos ver o que tem para dizer qdo o jogo terminar....

    O golo do porto não tarda. O Setúbal está a jogar com tão pouca vontade de ganhar o jogo que daqui a pouco mudo de canal.

    acreditar até ao fim bla bla depois da derrota no dragao contra o SLB dizia que estava mais do que nunca convencido que ia ser campeao. é tudo bla bla resignadissimo!!!! nem um golo contra o SLB foram capaz de fazer quanto mais vencer o campeonato. depois é o colo dos outros. nao jogam nada.
    Será que, depois deste penalty roubado ao Setúbal, ainda vão ter coragem de pressionar o árbitro do Guimarães - Benfica? Sei lá! Destes fruteiros tudo se espera!


    Vá lá, Lorotegui, eu ensino-te a pronunciar. Repete comigo: MAR CO FE RREI RA. Conseguiste? É mais fácil do que CA PE LA. Que rico colo
    Hà três ou quatro jogadores do setubal que foram comprados! não jogaram nada andavam a passear no terreno; ( E a corrupção continua )!...


    Sem surpresa....perninhas abertas há mais de 30 anos

    Muito fraquinho este Vitoria de Setúbal atá parece que estão a jogar por favor.””””

    ResponderEliminar
    Respostas
    1. Caro

      Os jogos do FCP em Setúbal são os jogos oficiais mais amigáveis que há em Portugal.

      Gloriosas Saudações

      Alberto Miguéns

      Eliminar
  3. HUGO MIDAS MIGUEL (do penalti do james em Paços que deu um título)
    SOARES MIDAS DIAS (penafielgate)
    MARCO MIDAS FERREIRA (tirou 3pontos ao benfica em braga e deu 2 ao porto em setúbal)

    SEGUNDO O EX-FUTURO TREINADOR DO REAL MADRID
    E SEGUNDO AS TEORIAS DO DR RUI SANTOS

    NÃO MAIS TERÃO CONDIÇÕES
    PARA APITAREM JOGOS DO FCP

    ESTES CAVALHEIROS---MUITO INTELIGENTES----NÃO PODEM
    VOLTAR COM A SUA TEORIA ATRÁS

    ALIÁS COM A QUAL CONCORDAMOS (no caso destes 3 MIDAS)

    eheheheheheheheheheheheheeh

    a cegueira anti-benfica tolda-lhes a moleirinha

    ResponderEliminar
  4. Também não porcebi porque se jogou de cinza, até o meu miúdo de 10 anos me perguntou porque é que o Benfica não estava a jogar de vermelho. Já na final da Liga Europa contra o Chelsea foi assim, enfim... benfiquices modernas...

    ResponderEliminar
  5. Hoje na capa dos pasquins quase não há referência à vitória (soberba) na taça do futsal. É só azia.
    E claro, na capa do folheto de contumil hoje não há tribunal unânime. Que gente tão fraca e intelectualmente diminuída!

    CARREGA BENFICA!

    ResponderEliminar
  6. ...Sr Dr Alberto..QUANTO AO EQUIPAMENTO (MANTO SAGRADO) estou 100% de acordo com o SEU SENTIMENTO e que certamente é o SENTIMENTO de milhões de BENFIQUISTAS...(INFELIZMENTE NEM TODOS OS DIRIGENTES PERCEBEM A MÍSTICA (ALGUNS NEM CONHECEM O SENTIDO DE COSME DAMIÃO E QUEM COM ELE FUNDOU O GLORIOSO)....MAIS UMA TAÇA BRILHANTEMENTE CONQUISTADA (uma palavra para o treinador JOEL que tem um discurso BENFIQUISTA)....abraço

    ResponderEliminar
  7. Parabéns ao futsal pela conquista da Taça de Portugal. Agora também queremos ser Campeões Nacionais.
    Quanto ao Equipamento já vem sendo "tradição" o SL Benfica jogar finais e na entrega do troféu, equipado para a fotografia, com as "cores do burro quando foge". Tenham vergonha!!! Respeitem o emblema e as cores do clube. Na minha opinião talvez não seja o problema de ter dois equipamentos para dois dias seguidos. Será uma questão de marketing da marca das camisolas. Já aqui escrevi sobre isto na conquista da Taça de Portugal de basquetebol. Infelizmente, para muita gente, quem pensa assim é antiquado...
    Saudações Benfiquistas
    Jorge Gomes

    ResponderEliminar
    Respostas
    1. Caro Jorge Gomes

      Eu concordo no aspecto seguinte, não sabendo se coincide com a sua opinião.

      Em minha opinião, no nosso clube, há responsáveis pelo marketing que não fornecem dois conjuntos de equipamentos para obrigar a "mostrar" o alternativo.

      Há adeptos que pensam que a responsabilidade é dos atletas/técnicos/etc. Não me parece. Jogam com o alternativo porque não têm... alternativa! Posso estar errado, mas tenho cada vez mais esta ideia como certeza.

      Gloriosas Saudações

      Alberto Miguéns

      Eliminar
  8. Boa noite. Leio atentamente tudo quanto aqui se escreve, sou talvez a fã nº 1, nunca tive a veleidade de fazer qualquer tipo de comentário, porque me sinto pequenina no saber sobre o meu, o nosso BENFICA, mas aqui venho "beber" muito do conhecimento que me falta, só posso agradecer ... OBRIGADA!!!
    Por tudo que ouço da boca dos jornaleiros avençados, nas tv`s, nas radios, o que leio nos jornais, só posso dizer que o BENFICA é grande demais para a pequenez desta gente, ignorantes, vendidos a troco de qualquer coisa ... Alexandra

    ResponderEliminar
    Respostas
    1. Prezada Alexandra

      Não é nada pequenina. É tão grande como todos os outros Benfiquistas. Em relação ao que escrevo tem de certeza conhecimentos e vivências Benfiquistas que não são inferiores às minhas. O Benfiquismo em cada momento é o somatório de todos nós. Estamos sempre a aprender.

      Só posso estar grato em que se sinta recompensada em ler o que se escreve. Tempo que não considera perdido ou gasto. Sem demagogia, com sinceridade, é isso que me faz escrever com regularidade.

      Obrigado pela atenção.

      Gloriosas Saudações Benfiquistas

      Alberto Miguéns

      Eliminar